声学楼论坛技术交流区电声器件与系统设计音箱及分频器设计室 → 倒相箱的C6-1调整法请教


  共有6218人关注过本帖树形打印复制链接

主题:倒相箱的C6-1调整法请教

帅哥哟,离线,有人找我吗?
xiushuicunren
  1楼 | 信息 | 搜索 | 邮箱 | 主页 | UC


加好友 发短信 修水 村人
等级:青蜂侠 帖子:1597 积分:10223 威望:0 精华:0 注册:2010-1-12 23:03:00
倒相箱的C6-1调整法请教  发帖心情 Post By:2014-10-9 8:34:23 [只看该作者]

倒相箱的一个工作是“调整”,据说调整的方法有15种以上。

除了一般书里常见的什么QB3、C4等方法外,还有一些,如C6-1。

采用C6-1调整,可以得到较低的f3/fs,而且扬声器单元的Qts 可以较低。

 

请问:C6-1调整方法是怎么进行的?这个调整有什么特点?

 

谢谢!


 回到顶部
帅哥哟,离线,有人找我吗?
水仙
  2楼 | QQ | 信息 | 搜索 | 邮箱 | 主页 | UC


加好友 发短信 电声从业人员
等级:超级版主 帖子:6565 积分:51373 威望:10 精华:39 注册:2005-10-28 8:32:06
  发帖心情 Post By:2014-10-10 10:41:57 [只看该作者]

Type I Chebyshev filters


此主题相关图片如下:001.jpg
按此在新窗口浏览图片



声学楼--声学工程师之家
QQ:350824984,邮件:adrian_chi@163.com,微博:adrian_chi,微信:adrian_chi
 回到顶部
帅哥哟,离线,有人找我吗?
水仙
  3楼 | QQ | 信息 | 搜索 | 邮箱 | 主页 | UC


加好友 发短信 电声从业人员
等级:超级版主 帖子:6565 积分:51373 威望:10 精华:39 注册:2005-10-28 8:32:06
  发帖心情 Post By:2014-10-10 10:45:11 [只看该作者]

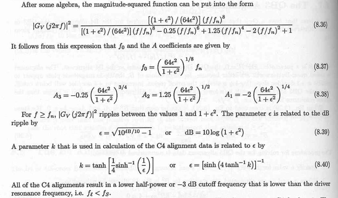
上述公式中,n为阶数。
4阶的有看到文献介绍,系数比较复杂,6阶的就没看到过了。



声学楼--声学工程师之家
QQ:350824984,邮件:adrian_chi@163.com,微博:adrian_chi,微信:adrian_chi
 回到顶部
帅哥哟,离线,有人找我吗?
水仙
  4楼 | QQ | 信息 | 搜索 | 邮箱 | 主页 | UC


加好友 发短信 电声从业人员
等级:超级版主 帖子:6565 积分:51373 威望:10 精华:39 注册:2005-10-28 8:32:06
  发帖心情 Post By:2014-10-10 10:57:01 [只看该作者]

B4:

图片点击可在新窗口打开查看此主题相关图片如下:b4.jpg
图片点击可在新窗口打开查看



声学楼--声学工程师之家
QQ:350824984,邮件:adrian_chi@163.com,微博:adrian_chi,微信:adrian_chi
 回到顶部
帅哥哟,离线,有人找我吗?
水仙
  5楼 | QQ | 信息 | 搜索 | 邮箱 | 主页 | UC


加好友 发短信 电声从业人员
等级:超级版主 帖子:6565 积分:51373 威望:10 精华:39 注册:2005-10-28 8:32:06
  发帖心情 Post By:2014-10-10 10:58:54 [只看该作者]

QB3:

图片点击可在新窗口打开查看此主题相关图片如下:qb3.jpg
图片点击可在新窗口打开查看



声学楼--声学工程师之家
QQ:350824984,邮件:adrian_chi@163.com,微博:adrian_chi,微信:adrian_chi
 回到顶部
帅哥哟,离线,有人找我吗?
水仙
  6楼 | QQ | 信息 | 搜索 | 邮箱 | 主页 | UC


加好友 发短信 电声从业人员
等级:超级版主 帖子:6565 积分:51373 威望:10 精华:39 注册:2005-10-28 8:32:06
  发帖心情 Post By:2014-10-10 11:00:42 [只看该作者]

C4:


图片点击可在新窗口打开查看此主题相关图片如下:c4.jpg
图片点击可在新窗口打开查看



声学楼--声学工程师之家
QQ:350824984,邮件:adrian_chi@163.com,微博:adrian_chi,微信:adrian_chi
 回到顶部
帅哥哟,离线,有人找我吗?
水仙
  7楼 | QQ | 信息 | 搜索 | 邮箱 | 主页 | UC


加好友 发短信 电声从业人员
等级:超级版主 帖子:6565 积分:51373 威望:10 精华:39 注册:2005-10-28 8:32:06
  发帖心情 Post By:2014-10-10 11:03:00 [只看该作者]

C4:


图片点击可在新窗口打开查看此主题相关图片如下:c4-1.jpg
图片点击可在新窗口打开查看



声学楼--声学工程师之家
QQ:350824984,邮件:adrian_chi@163.com,微博:adrian_chi,微信:adrian_chi
 回到顶部
帅哥哟,离线,有人找我吗?
水仙
  8楼 | QQ | 信息 | 搜索 | 邮箱 | 主页 | UC


加好友 发短信 电声从业人员
等级:超级版主 帖子:6565 积分:51373 威望:10 精华:39 注册:2005-10-28 8:32:06
  发帖心情 Post By:2014-10-10 11:08:42 [只看该作者]

响应对比:


图片点击可在新窗口打开查看此主题相关图片如下:002.jpg
图片点击可在新窗口打开查看



声学楼--声学工程师之家
QQ:350824984,邮件:adrian_chi@163.com,微博:adrian_chi,微信:adrian_chi
 回到顶部
帅哥哟,离线,有人找我吗?
xiushuicunren
  9楼 | 信息 | 搜索 | 邮箱 | 主页 | UC


加好友 发短信 修水 村人
等级:青蜂侠 帖子:1597 积分:10223 威望:0 精华:0 注册:2010-1-12 23:03:00
  发帖心情 Post By:2014-10-10 15:29:06 [只看该作者]

谢谢水仙兄了!

 

我只是在沈教授等人编著的《扬声器系统的理论与应用》一书的155页中看到有C5,C6的。

不明就里,就想知道一下具体的工作原理或设计过程的。

 

好像目前的书本里没有这个调整方法介绍的吧?

 

 


 回到顶部
帅哥哟,离线,有人找我吗?
huxueyou
  10楼 | 信息 | 搜索 | 邮箱 | 主页 | UC


加好友 发短信
等级:职业侠客 帖子:93 积分:763 威望:0 精华:0 注册:2012-6-22 14:18:01
  发帖心情 Post By:2014-10-12 10:41:27 [只看该作者]

这个公式好复杂,学历有限,真心看不懂。

也尝试计算过,那个方程不知怎么解出来。

有没有简单明了一些的估算公式?



妙高音响,专业音频设备供应商 www.musesaudio.com
 回到顶部
帅哥哟,离线,有人找我吗?
huxueyou
  11楼 | 信息 | 搜索 | 邮箱 | 主页 | UC


加好友 发短信
等级:职业侠客 帖子:93 积分:763 威望:0 精华:0 注册:2012-6-22 14:18:01
  发帖心情 Post By:2014-10-12 10:41:43 [只看该作者]

这个公式好复杂,学历有限,真心看不懂。

也尝试计算过,那个方程不知怎么解出来。

有没有简单明了一些的估算公式?



妙高音响,专业音频设备供应商 www.musesaudio.com
 回到顶部