声学楼论坛技术交流区电声器件与系统设计微型电声器件设计室 → 关于音腔后腔主要影响低频不影响高频应当如何理解


  共有16386人关注过本帖树形打印复制链接

主题:关于音腔后腔主要影响低频不影响高频应当如何理解

帅哥哟,离线,有人找我吗?
声学爱好者
  1楼 | 信息 | 搜索 | 邮箱 | 主页 | UC


加好友 发短信
等级:论坛游侠 帖子:25 积分:275 威望:0 精华:0 注册:2015-5-9 15:59:38
关于音腔后腔主要影响低频不影响高频应当如何理解  发帖心情 Post By:2015-5-28 19:17:31 [只看该作者]

一直理解的不透彻,求懂行的DX给个合理解释,谢谢~


 回到顶部
帅哥哟,离线,有人找我吗?
jma
  2楼 | QQ | 信息 | 搜索 | 邮箱 | 主页 | UC


加好友 发短信 小马哥
等级:版主 帖子:3126 积分:27130 威望:2 精华:8 注册:2006-1-19 20:29:17
  发帖心情 Post By:2015-5-29 10:34:45 [只看该作者]

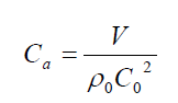
腔体——容性元件的分析
容性元件的部分主要是指受话器前盖与膜片之间形成的前腔的等效声容C1;膜片与盆架之间形成的后腔的等效
声容C2;前盖与测试治具之间形成的测试前腔的等效声容C3。
腔体等效声容(顺)的公式[2]如下:
图片点击可在新窗口打开查看此主题相关图片如下:qq截图20150529103316.png
图片点击可在新窗口打开查看


公式中:Ca:腔体容积的等效声容;V:腔体容积m3 ;ρ0:空气密度;C0:空气中的声速
调整后腔等效声容C2对频响曲线的影响如下:
图片点击可在新窗口打开查看此主题相关图片如下:qq截图20150529103227.png
图片点击可在新窗口打开查看


后腔等效声容C2对频响曲线的影响多集中在FS0以上的频段。由于声容C2与后孔的等效声质量产生的谐振,往
往是造成FS0以上频段峰谷的主要因素。


摘自《电声技术》中《受话器各部件与频响曲线之间的关系》


独学而无友,则孤陋寡闻!!!
E-Mail:jma168@163.com 广告勿扰!
 回到顶部
帅哥哟,离线,有人找我吗?
jma
  3楼 | QQ | 信息 | 搜索 | 邮箱 | 主页 | UC


加好友 发短信 小马哥
等级:版主 帖子:3126 积分:27130 威望:2 精华:8 注册:2006-1-19 20:29:17
  发帖心情 Post By:2015-5-29 10:38:01 [只看该作者]

以上2楼是对单元自身的后腔体而言,对于BOX,后腔的容积对低频段是有影响,如Fc或者Fb的频率等。
但是非规则形状的腔体形状,有些已经影响到了中频段,如非规则的手机BOX腔体,有时会在2~4KHz造成峰谷。


独学而无友,则孤陋寡闻!!!
E-Mail:jma168@163.com 广告勿扰!
 回到顶部
帅哥哟,离线,有人找我吗?
jma
  4楼 | QQ | 信息 | 搜索 | 邮箱 | 主页 | UC


加好友 发短信 小马哥
等级:版主 帖子:3126 积分:27130 威望:2 精华:8 注册:2006-1-19 20:29:17
  发帖心情 Post By:2015-5-29 10:53:43 [只看该作者]

例如此类非规则的形状的后腔体BOX:

图片点击可在新窗口打开查看此主题相关图片如下:qq截图20150529105101.png
图片点击可在新窗口打开查看

图片点击可在新窗口打开查看此主题相关图片如下:qq截图20150529105327.png
图片点击可在新窗口打开查看




独学而无友,则孤陋寡闻!!!
E-Mail:jma168@163.com 广告勿扰!
 回到顶部
帅哥哟,离线,有人找我吗?
jma
  5楼 | QQ | 信息 | 搜索 | 邮箱 | 主页 | UC


加好友 发短信 小马哥
等级:版主 帖子:3126 积分:27130 威望:2 精华:8 注册:2006-1-19 20:29:17
  发帖心情 Post By:2015-5-29 11:26:21 [只看该作者]

如将后腔做分析,以密闭腔为例:

图片点击可在新窗口打开查看此主题相关图片如下:qq截图20150529112426.png
图片点击可在新窗口打开查看


图片点击可在新窗口打开查看此主题相关图片如下:qq截图20150529112514.png
图片点击可在新窗口打开查看



独学而无友,则孤陋寡闻!!!
E-Mail:jma168@163.com 广告勿扰!
 回到顶部
帅哥哟,离线,有人找我吗?
wkihz
  6楼 | 信息 | 搜索 | 邮箱 | 主页 | UC


加好友 发短信
等级:论坛游侠 帖子:36 积分:504 威望:0 精华:0 注册:2011-4-13 23:54:37
  发帖心情 Post By:2015-5-30 15:50:55 [只看该作者]

后腔总容积数影响低频,但是内腔的形状及喇叭在内腔中的位置会影响中频

 回到顶部
帅哥哟,离线,有人找我吗?
zhoulong2
  7楼 | 信息 | 搜索 | 邮箱 | 主页 | UC


加好友 发短信
等级:业余侠客 帖子:66 积分:612 威望:0 精华:0 注册:2010-7-8 17:52:04
  发帖心情 Post By:2015-5-30 22:00:52 [只看该作者]

小马哥四楼仿真的2kHz谐振是用管道+腔体仿真出来的吗?

 回到顶部
帅哥哟,离线,有人找我吗?
声学爱好者
  8楼 | 信息 | 搜索 | 邮箱 | 主页 | UC


加好友 发短信
等级:论坛游侠 帖子:25 积分:275 威望:0 精华:0 注册:2015-5-9 15:59:38
  发帖心情 Post By:2015-6-1 19:55:06 [只看该作者]

谢谢小马哥指点。

 回到顶部
帅哥哟,离线,有人找我吗?
声学爱好者
  9楼 | 信息 | 搜索 | 邮箱 | 主页 | UC


加好友 发短信
等级:论坛游侠 帖子:25 积分:275 威望:0 精华:0 注册:2015-5-9 15:59:38
  发帖心情 Post By:2015-6-1 19:57:00 [只看该作者]

喇叭在内腔中的位置影响中频应当如何理解?

 回到顶部
帅哥哟,离线,有人找我吗?
jma
  10楼 | QQ | 信息 | 搜索 | 邮箱 | 主页 | UC


加好友 发短信 小马哥
等级:版主 帖子:3126 积分:27130 威望:2 精华:8 注册:2006-1-19 20:29:17
  发帖心情 Post By:2015-6-3 11:14:58 [只看该作者]

以下是引用zhoulong2在2015-05-30 22:00:52的发言:
小马哥四楼仿真的2kHz谐振是用管道+腔体仿真出来的吗?


这是一种方式。



独学而无友,则孤陋寡闻!!!
E-Mail:jma168@163.com 广告勿扰!
 回到顶部
帅哥哟,离线,有人找我吗?
xunmixiaoli
  11楼 | 信息 | 搜索 | 邮箱 | 主页 | UC


加好友 发短信
等级:论坛游民 帖子:10 积分:152 威望:0 精华:0 注册:2012-5-13 14:18:16
顶一个  发帖心情 Post By:2016-5-16 11:07:14 [只看该作者]

顶一个

 回到顶部
帅哥哟,离线,有人找我吗?
注册好难
  12楼 | 信息 | 搜索 | 邮箱 | 主页 | UC


加好友 发短信
等级:职业侠客 帖子:80 积分:465 威望:0 精华:0 注册:2008-3-26 9:13:56
  发帖心情 Post By:2018-8-9 11:21:15 [只看该作者]

学习

 回到顶部
帅哥哟,离线,有人找我吗?
注册好难
  13楼 | 信息 | 搜索 | 邮箱 | 主页 | UC


加好友 发短信
等级:职业侠客 帖子:80 积分:465 威望:0 精华:0 注册:2008-3-26 9:13:56
  发帖心情 Post By:2018-8-9 11:21:27 [只看该作者]

学习

 回到顶部