声学楼论坛技术交流区测试、标准与评价、鉴赏测量、试验及标准室 → 请问如何测试倒相箱的Q值?


  共有19792人关注过本帖树形打印复制链接

主题:请问如何测试倒相箱的Q值?

帅哥哟,离线,有人找我吗?
音响初哥
  1楼 | 信息 | 搜索 | 邮箱 | 主页 | UC


加好友 发短信 东厂仅一位
等级:超级版主 帖子:2753 积分:21824 威望:10 精华:20 注册:2005-10-31 11:19:00
  发帖心情 Post By:2006-6-25 1:28:30 [显示全部帖子]

以下是引用qianslong在2006-06-23 11:19:41的发言:
请问如何测试倒相箱的Q值?如何知道一个成品箱的频响曲线?(我是说比喻巴特沃斯,贝塞尔等),谢谢!

倒相箱的Q??如指Q么?很简单测试阻抗曲线,然后根据阻抗曲线计算就可以了!!

很难从测得的频响曲线中看出成品箱的响应类型,必须结合阻抗曲线,同时你的测量应足够精确!

比如B4响应,你箱体调谐频率和频响曲线的-3dB点频率及扬声器单元的谐振频率是相等的,贝塞尔响应(Be4)箱体调谐频率和扬声器单体谐振频率近似相等,略高一点(约2%与箱体损耗情况有关),频响曲线的的-3dB点频率约为扬声器单体的谐振频率的1.54倍。。。。。。。。。。

除了根据这些频率关系判断外,你还可以通过低频的滚降情况作简单的判断,CHEBYSHEV响应低频滚降较快,BESSEL响应相对和缓,而BUTTERWORTH响应低频平坦,滚降相对适中,但判断过程中仍然需要结合其他因素,否则很难判断。



设计及承建消声室/试听室;提供专业隔声门/吸声尖劈
mobile:13632682797
qq:93514358
 回到顶部
帅哥哟,离线,有人找我吗?
音响初哥
  2楼 | 信息 | 搜索 | 邮箱 | 主页 | UC


加好友 发短信 东厂仅一位
等级:超级版主 帖子:2753 积分:21824 威望:10 精华:20 注册:2005-10-31 11:19:00
  发帖心情 Post By:2006-6-25 1:34:01 [显示全部帖子]

以下是引用qianslong在2006-06-23 21:44:27的发言:

再顶一下,请问如何测试无源四阶带通音箱的频带?现有一款5。25寸喇叭,F0=65,Q0=0。95,VAS=5。9L ,请问适合做无源四阶带通音箱吗?如果可以它的带宽取多少比较合适?谢谢!

可以做,具体可以查查声学楼中的关于四阶带通式音箱设计的帖子,扬声器的选择及箱体设计与你的设计目标有关系。



设计及承建消声室/试听室;提供专业隔声门/吸声尖劈
mobile:13632682797
qq:93514358
 回到顶部
帅哥哟,离线,有人找我吗?
音响初哥
  3楼 | 信息 | 搜索 | 邮箱 | 主页 | UC


加好友 发短信 东厂仅一位
等级:超级版主 帖子:2753 积分:21824 威望:10 精华:20 注册:2005-10-31 11:19:00
  发帖心情 Post By:2006-6-25 1:35:41 [显示全部帖子]



设计及承建消声室/试听室;提供专业隔声门/吸声尖劈
mobile:13632682797
qq:93514358
 回到顶部
帅哥哟,离线,有人找我吗?
音响初哥
  4楼 | 信息 | 搜索 | 邮箱 | 主页 | UC


加好友 发短信 东厂仅一位
等级:超级版主 帖子:2753 积分:21824 威望:10 精华:20 注册:2005-10-31 11:19:00
  发帖心情 Post By:2006-7-12 1:26:18 [显示全部帖子]

呵呵,俺哪有什么东东教大家,只是帮大家复习一下而已!!

真诚希望大家多发言,多提问,也就是多支持声学楼论坛!!!



设计及承建消声室/试听室;提供专业隔声门/吸声尖劈
mobile:13632682797
qq:93514358
 回到顶部
帅哥哟,离线,有人找我吗?
音响初哥
  5楼 | 信息 | 搜索 | 邮箱 | 主页 | UC


加好友 发短信 东厂仅一位
等级:超级版主 帖子:2753 积分:21824 威望:10 精华:20 注册:2005-10-31 11:19:00
  发帖心情 Post By:2006-8-23 2:17:00 [显示全部帖子]


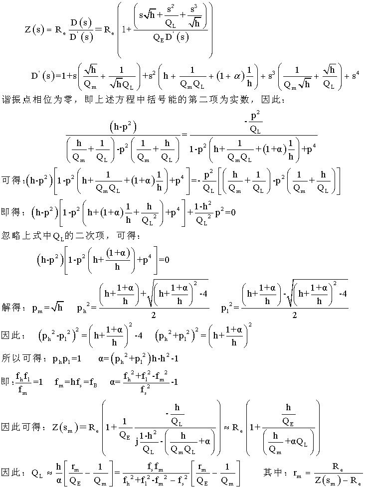
图片点击可在新窗口打开查看此主题相关图片如下:
图片点击可在新窗口打开查看


设计及承建消声室/试听室;提供专业隔声门/吸声尖劈
mobile:13632682797
qq:93514358
 回到顶部
帅哥哟,离线,有人找我吗?
音响初哥
  6楼 | 信息 | 搜索 | 邮箱 | 主页 | UC


加好友 发短信 东厂仅一位
等级:超级版主 帖子:2753 积分:21824 威望:10 精华:20 注册:2005-10-31 11:19:00
  发帖心情 Post By:2006-8-23 2:30:10 [显示全部帖子]

更正一下,上式中fh*fl/fm =1应为:fh*fl/(fm*fs) =1


设计及承建消声室/试听室;提供专业隔声门/吸声尖劈
mobile:13632682797
qq:93514358
 回到顶部
帅哥哟,离线,有人找我吗?
音响初哥
  7楼 | 信息 | 搜索 | 邮箱 | 主页 | UC


加好友 发短信 东厂仅一位
等级:超级版主 帖子:2753 积分:21824 威望:10 精华:20 注册:2005-10-31 11:19:00
  发帖心情 Post By:2006-8-24 11:30:07 [显示全部帖子]


图片点击可在新窗口打开查看此主题相关图片如下:
图片点击可在新窗口打开查看


设计及承建消声室/试听室;提供专业隔声门/吸声尖劈
mobile:13632682797
qq:93514358
 回到顶部