声学楼论坛技术交流区基础理论室 → [讨论]问个灵敏度的问题


  共有10311人关注过本帖树形打印复制链接

主题:[讨论]问个灵敏度的问题

帅哥哟,离线,有人找我吗?
糊涂仙
  1楼 | 信息 | 搜索 | 邮箱 | 主页 | UC


加好友 发短信
等级:论坛游民 帖子:14 积分:122 威望:0 精华:0 注册:2007-11-20 16:27:18
[讨论]问个灵敏度的问题  发帖心情 Post By:2007-11-24 11:08:38 [只看该作者]

求各位大师帮忙解答下面的问题:

1.     40 DB+80 DB=120 DB

2.     40 DB+80 DB=80 DB

不知道是120DB的答案对,还是80DB的对!具体原因是什么??

苦恼中.......

图片点击可在新窗口打开查看图片点击可在新窗口打开查看


金糊涂,银糊涂,不如咱家的老糊涂!
 回到顶部
帅哥哟,离线,有人找我吗?
xj
  2楼 | 信息 | 搜索 | 邮箱 | 主页 | UC


加好友 发短信 野兔帮-书记
等级:版主 帖子:1149 积分:10316 威望:2 精华:10 注册:2005-10-31 9:38:55
  发帖心情 Post By:2007-11-24 11:12:29 [只看该作者]

两个都是对的

第一个是纯数学计算题,所以对

第二个是掩蔽效应,所以也对.

图片点击可在新窗口打开查看


野兔帮CEO
 回到顶部
帅哥哟,离线,有人找我吗?
糊涂仙
  3楼 | 信息 | 搜索 | 邮箱 | 主页 | UC


加好友 发短信
等级:论坛游民 帖子:14 积分:122 威望:0 精华:0 注册:2007-11-20 16:27:18
  发帖心情 Post By:2007-11-24 11:19:46 [只看该作者]

掩蔽效应是现象吗?还是原因?


金糊涂,银糊涂,不如咱家的老糊涂!
 回到顶部
帅哥哟,离线,有人找我吗?
bxiong
  4楼 | 信息 | 搜索 | 邮箱 | 主页 | UC


加好友 发短信
等级:新手上路 帖子:198 积分:2457 威望:0 精华:0 注册:2005-11-10 20:40:19
  发帖心情 Post By:2007-11-24 11:41:37 [只看该作者]

以下是引用糊涂仙在2007-11-24 11:08:38的发言:

求各位大师帮忙解答下面的问题:

1.     40 DB+80 DB=120 DB

2.     40 DB+80 DB=80 DB

不知道是120DB的答案对,还是80DB的对!具体原因是什么??

苦恼中.......

图片点击可在新窗口打开查看图片点击可在新窗口打开查看

1.纯数的计算方式.

2.应该是80dB才对了

图片点击可在新窗口打开查看图片点击可在新窗口打开查看图片点击可在新窗口打开查看图片点击可在新窗口打开查看

 回到顶部
帅哥哟,离线,有人找我吗?
xian-gen
  5楼 | 信息 | 搜索 | 邮箱 | 主页 | UC


加好友 发短信
等级:新手上路 帖子:50 积分:488 威望:0 精华:0 注册:2006-4-12 16:11:01
  发帖心情 Post By:2007-11-24 17:10:44 [只看该作者]

1.当然是纯加法的问题.

2.如果这是声压级,那40dB就是2*10E-3pa,80dB就是2*10E-1pa,而2*10E-3pa+2*10E-1pa约等于2*10-1pa,换成声压级依然是80dB.


 回到顶部
帅哥哟,离线,有人找我吗?
谁是谁
  6楼 | 信息 | 搜索 | 邮箱 | 主页 | UC


加好友 发短信 扔砖头的老大爷
等级:黑侠 帖子:472 积分:4623 威望:1 精华:29 注册:2005-11-9 16:52:23
  发帖心情 Post By:2007-11-29 0:28:13 [只看该作者]

以下是引用糊涂仙在2007-11-24 11:08:38的发言:

求各位大师帮忙解答下面的问题:

1.     40 DB+80 DB=120 DB

2.     40 DB+80 DB=80 DB

不知道是120DB的答案对,还是80DB的对!具体原因是什么??

苦恼中.......

图片点击可在新窗口打开查看图片点击可在新窗口打开查看

1)是正确的,但要加前提,就是降信号增益有80dB,提升40dB(即放大100倍)

2)肯定是错误的,不管从那方面理解

  如果从两个信号合成的角度来理解的话,也不可能出现绝对等于的现象,如果绝对等于应该是等于80+10Lg[1+(0.01)^2]

楼上兄弟,人家又没说一定是声音信号!



板砖促进会新晋会员!!!野兔帮预备会员!!!

        
        

 回到顶部
帅哥哟,离线,有人找我吗?
小平头
  7楼 | 信息 | 搜索 | 邮箱 | 主页 | UC


加好友 发短信 HJZ
等级:蝙蝠侠 帖子:697 积分:8975 威望:0 精华:0 注册:2006-4-9 13:25:36
  发帖心情 Post By:2007-11-30 20:55:27 [只看该作者]


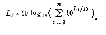
图片点击可在新窗口打开查看此主题相关图片如下:未命名 拷贝.jpg
图片点击可在新窗口打开查看

是这么计的吗?



任凭风浪起,稳坐钓鱼台。
 回到顶部
帅哥哟,离线,有人找我吗?
舞动的音符
  8楼 | QQ | 信息 | 搜索 | 邮箱 | 主页 | UC


加好友 发短信 没得么子头衔
等级:职业侠客 帖子:155 积分:1210 威望:0 精华:0 注册:2010-10-27 20:13:51
  发帖心情 Post By:2010-11-16 21:11:54 [只看该作者]

学习了 


动听、悦耳——来至扬声器之声!
 回到顶部
帅哥哟,离线,有人找我吗?
cjj169
  9楼 | 信息 | 搜索 | 邮箱 | 主页 | UC


加好友 发短信
等级:业余侠客 帖子:67 积分:658 威望:0 精华:0 注册:2007-7-25 13:39:28
  发帖心情 Post By:2010-12-21 9:17:36 [只看该作者]

学习学习!感觉两个都是对的,但是出发点不同。

 回到顶部
帅哥哟,离线,有人找我吗?
楼学声
  10楼 | 信息 | 搜索 | 邮箱 | 主页 | UC


加好友 发短信
等级:职业侠客 帖子:124 积分:920 威望:0 精华:0 注册:2010-8-31 10:59:12
  发帖心情 Post By:2010-12-23 11:12:11 [只看该作者]

希望声学楼能开辟一个新手区,供我们学习。大师们现在的研究的问题比较高深,一般我们很难理解。若开辟一个新手区,提供一些基础知识,让我们逐渐去成长那就好了、。

 回到顶部
帅哥哟,离线,有人找我吗?
楼学声
  11楼 | 信息 | 搜索 | 邮箱 | 主页 | UC


加好友 发短信
等级:职业侠客 帖子:124 积分:920 威望:0 精华:0 注册:2010-8-31 10:59:12
  发帖心情 Post By:2010-12-23 11:14:11 [只看该作者]

我是说能系统的去了解,比如说扬声器  它的一些基本参数  各有什么作用  之间的关系又是怎么样的,一些公式的计算,例如声压 啊  灵敏度啊之类的,。   

 回到顶部
帅哥哟,离线,有人找我吗?
阿憨
  12楼 | 信息 | 搜索 | 邮箱 | 主页 | UC


加好友 发短信
等级:论坛游民 帖子:10 积分:80 威望:0 精华:0 注册:2008-9-12 7:21:47
  发帖心情 Post By:2011-1-12 23:48:22 [只看该作者]

120db 对。

 回到顶部
帅哥哟,离线,有人找我吗?
阿憨
  13楼 | 信息 | 搜索 | 邮箱 | 主页 | UC


加好友 发短信
等级:论坛游民 帖子:10 积分:80 威望:0 精华:0 注册:2008-9-12 7:21:47
  发帖心情 Post By:2011-1-12 23:50:40 [只看该作者]

以下是引用xian-gen在2007-11-24 17:10:44的发言:

1.当然是纯加法的问题.

2.如果这是声压级,那40dB就是2*10E-3pa,80dB就是2*10E-1pa,而2*10E-3pa+2*10E-1pa约等于2*10-1pa,换成声压级依然是80dB.

晕倒,db是这么加的吗?你换成常数就变成乘法了。图片点击可在新窗口打开查看图片点击可在新窗口打开查看图片点击可在新窗口打开查看


 回到顶部